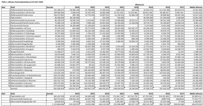
Fjármál framhaldsskóla Róbert Ferdinandsson skrifar 2. október 2025 11:01 Árið 2019 var blásið til sóknar í menntamálum með loforðum um aukin fjárframlög á hvern framhaldsskólanema, uppbyggingu iðn- og verknáms og aukna áherslu á íslenskukennslu fyrir nemendur með íslensku sem annað tungumál svo fáein atriði séu talin (Morgunblaðið, 9.9. 2019). Þetta eru kunnugleg kosningaloforð en til þess að greina raunverulegar áherslur stjórnvalda þarf að skoða fjárhagslega mælikvarða og bókhaldsgöng nokkur ár aftur í tímann. Byrjum á að skoða styttingu námstíma til stúdentsprófs. Áhrif styttingarinnar Ætla má að stytting námstíma til stúdentsprófs „spari“ ríkinu 8-9 milljarða árlega. Þessi breyting fór ekki fram hjá neinum og er jafnan talin sú stærsta sem gerð hefur verið á framhaldsskólastiginu í seinni tíð. Árið 2022 var verg landsframleiðsla (VLF) 4 billjónir. Hlutfall fræðsluútgjalda ríkisins til framhaldsskólanna var 0,93% af henni eða um 37,2 milljarðar. Hlutfall fræðsluútgjalda ríkisins til framhaldsskólanna af VLF árið 2012 var 1,15% sem er 24% hærra hlutfall (sjá mynd 1 og 2). Ef sama hlutfall af VLF hefði runnið til framhaldsskólastigsins 2022 og það gerði 2012 værum við að tala um 45,7 milljarða framlag. Hér erum við að ræða um 8,5 milljarða mismun og ýmislegt hægt að gera fyrir þá fjárhæð. Árið 2012 reyndist ekkert sérstakt gullaldarár, síður en svo. Það voru þó hlutfallslega fleiri nemendur sem nutu þeirra menntunarlegu gæða sem skólastigið bauð, við hærra gæðastig og í lengri tíma. Hækkun leigugjalda Næststærsta breyting á framhaldsskólakerfinu átti sér stað árið 2019 og fáir sem þekkja til hennar. Einhver kann að spyrja hvort hér sé átt við áðurnefnda uppbyggingu iðnáms eða hið veglega átak í íslenskukennslu fyrir stóraukinn fjölda nemenda með íslensku sem annað tungumál. Svarið við þessari spurningu er því miður nei. Áherslan á að hækka fjárframlög á hvern nemanda og fela hagræðingaráhrif styttingarinnar og annarra sparnaðaraðgerða í framhaldsskólakerfinu, leiddu forystumenn menntamála í ómótstæðilega freistni. Eftir styttingu námstíma til stúdentsprófs var mest aðkallandi forgangsverkefni stjórnvalda að hækka leigugjöld ríkisreknu skólanna um 126% eða úr 2 milljörðum króna í 4,6. Þetta er hækkun upp á 2,6 milljarða. Þetta þýðir að leigugjöldin eru núna að meðaltali 19% af fjárframlögum ríkisins en voru fyrir 2019 um 9%. Þetta kann að hljóma eins og sakleysisleg ráðstöfun þar sem þetta er jú bara ríkið að færa pening úr einum vasa í annan. Þetta er þó ekki svo einfalt þar sem hér er með einu pennastriki verið að ofmeta menntunarleg útgjöld. Dæmi er um að himinhá leigugjöld hafi verið rukkuð af húsnæði sem er ónothæft. Forsvarsmenn ríkisins lofuðu að rekstrinum yrði tryggður fjármunir þannig að skólarnir stæðu undir leigugjöldum en það hefur ekki reynst vera raunin. Leigan hækkaði t.a.m. hjá ríkisreknu skólunum um 503 milljónir kr. á milli áranna 2023 og 2024 en tap framhaldsskólanna 2024 var nálægt þeirri upphæð eða 511 milljónir. Húsaleiga Menntaskólans í Reykjavík hækkaði um 77 milljónir milli áranna 2022 og 2023 eða um 50% sem skilaði sér í 115 milljón króna neikvæðri afkomu árið 2023 (sjá töflu 1 – 3). Svona mætti lengi halda upptalningunni áfram. Leigugjöldin éta svo upp allar sértekjur framhaldsskólanna sem stjórnendum þeirra er gert að afla. Nú fá skólameistararnir í andlitið á sér eins og blauta tusku að þeir standi sig ekki nógu vel og að stofna þurfi nýtt stjórnsýslustig. Hækkun leigugjaldsins árið 2019 skekkir samanburð á útgjöldum ríkisins til framhaldsskólanna sem nemur 10% ofmati. Útgjöld á hvern nemanda eru ofmetin um sennilega allt að 200.000 krónum. Innbyrðissamanburður á ríkisútgjöldum til framhaldsskólanna skekkist og ekki er hægt að meta t.d. áhrif styttingar námstímans fjárhagslega nema að draga þetta álag frá. Alþjóðlegur samanburður verður svo að taka mið af þessu þar sem íslenska húsaleigan er orðin verulega stór breyta. Hver veit svo hvað Fjársýslan gerði við fjármunina sem skólastjórnendur ríkisreknu framhaldsskólanna afhentu þeim? Iðnaðarmenn sjást dytta að mannvirkjum sem er vissulega eitthvað betur viðhaldið en mér er til efs að fjármunirnir skili sér að öllu leyti til menntunarlegra þarfa. Athuga þarf að með leigugjöldum hefur ekki að fullu verið gert grein fyrir öllum kostnaði við húsnæði starfseminnar svo sem rafmagni, hita, fasteignaumsjón og ræstingu. En hvað er til ráða? Fyrsta tillaga mín væri að lækka hlutfall leigugjalda niður í fyrra horf, þ.e. úr 19% í 9% af fjárframlögum ríkisins en það væri um þriggja milljarðarða innspýting inn í rekstur ríkisreknu framhaldsskólanna. Með því mætti standa við öll loforð og fagurgala stjórnmálamanna og leysa stjórnunarleg vandamál sem kalla nú á nýtt stjórnsýslustig. Við þessar draumaaðstæður væri auðvelt að afskrifa vinnutímaskuldir sem nema árlega 150 milljónum og eru dregnar úr vösum hnýpinnar stéttar framhaldsskólakennara. Önnur tillaga væri að lækka leiguhlutfallið niður í fyrra horf, þ.e. 9% ásamt því að lækka framlög til framhaldsskóla. Með þessu fengist réttari mynd af því sem raunverulega varið af fjármunum til skólastigsins. Þriðja tillagan væri að spyrja hvert hlutverk og markmið forystumanna menntakerfisins sé. Markmið stjórnenda í menntakerfinu og stjórnsýslu menntamála er að tryggja að nægilegu fjármagni sé varið til málaflokksins þannig að skólastigið sinni sínu lögbundna hlutverki. Skólayfirvöldum ber að standa vörð um menntunarlegt inntak og gild. Þetta hafa þau ekki gert enda markmiðið að ná fram sem mestum niðurskurð. Lágmarkskrafa hlýtur þó að vera að birt sé rétt og sönn mynd af stöðu mála. Hér að neðan eru upplýsingar sem unnar eru úr ársreikningum framhaldsskólanna frá árunum 2017-2024 ásamt samanburð á fræðslugjöldum ríkisins til framhaldsskóla. Höfundur er framhaldsskólakennari. Heimildir Morgunblaðið. (2019, 9. september). 36 milljarðar til framhaldsskólastigsins. Mbl.is. https://www.mbl.is/frettir/innlent/2019/09/09/36_milljardar_til_framhaldsskolastigsins/ Unnar Þór Bachmann. (2020, 18. nóvember). Húsaleiga framhaldsskólanna. Kjarninn. Sótt af https://kjarninn.is/skodun/2020-11-18-husaleiga-framhaldsskolanna/ Talaefni sótt af vef Fjársýslunnar og vef Hagstofu Ísland. Viltu birta grein á Vísi? Kynntu þér reglur ritstjórnar um skoðanagreinar. Senda grein Framhaldsskólar Mest lesið Hermenn Viðreisnar Jón Pétur Zimsen Skoðun Opið bréf til heilbrigðisráðherra Sif Huld Albertsdóttir Skoðun Af hverju má ekki segja nei? Erna Bjarnadóttir Skoðun Hverra hagsmuna er verið að gæta? Kolbrún Áslaugar Baldursdóttir Skoðun Velsæld og hagsæld - breytum mælikvörðunum Ásgeir Brynjar Torfason,Birna Björnsdóttir,Guðmundur Steingrímsson,Hildur Harðardóttir,Kristín Vala Ragnarsdóttir,Sigríður Kristín Hrafnkelsdóttir,Silja Elvarsdóttir,Svandís Egilsdóttir,Tinna Jóhannsdóttir, Dóra Guðrún Guðmundsdóttir,Brynhildur Davíðsdóttir,Þórhildur Fjóla Kristjánsdóttir Skoðun Evrópuhugsjónin á sakamannabekknum Arnar Sigurðsson Skoðun Ísland í sama flokki og Norður Kórea í námsefnisgerð? Mathieu Grettir Skúlason Skoðun Vörðum leiðina afdráttarlaust í mögulegum aðildarviðræðum Heiðrún Lind Marteinsdóttir Skoðun Bandaríkin draga úr hernaðarframlögum til NATO á hættu-og ófriðartímum Arnór Sigurjónsson Skoðun Fullveldi, upplýst umræða og ábyrg ákvörðun Ingibjörg Isaksen Skoðun Skoðun Skoðun Tékkar vilja halda krónunni og sömu rök eiga við um Ísland Júlíus Valsson skrifar Skoðun Ísland í sama flokki og Norður Kórea í námsefnisgerð? Mathieu Grettir Skúlason skrifar Skoðun Opið bréf til heilbrigðisráðherra Sif Huld Albertsdóttir skrifar Skoðun Ísland og nýja djobbið Dóra Magnúsdóttir skrifar Skoðun Evrópuhugsjónin á sakamannabekknum Arnar Sigurðsson skrifar Skoðun Bandaríkin draga úr hernaðarframlögum til NATO á hættu-og ófriðartímum Arnór Sigurjónsson skrifar Skoðun Raunhæf áætlun um endurheimt íslenskra fiskimiða Sigurður Sigurðsson skrifar Skoðun STEM menntun þarf langtímasýn Huld Hafliðadóttir skrifar Skoðun Af hverju má ekki segja nei? Erna Bjarnadóttir skrifar Skoðun Hverra hagsmuna er verið að gæta? Kolbrún Áslaugar Baldursdóttir skrifar Skoðun Þrír af hverjum fjórum Íslendingum styðja dánaraðstoð Ingrid Kuhlman skrifar Skoðun Vörðum leiðina afdráttarlaust í mögulegum aðildarviðræðum Heiðrún Lind Marteinsdóttir skrifar Skoðun Hermenn Viðreisnar Jón Pétur Zimsen skrifar Skoðun Fullveldi, upplýst umræða og ábyrg ákvörðun Ingibjörg Isaksen skrifar Skoðun Opið bréf til skóla- og velferðarþjónustu Reykjavíkurborgar vegna fordómafulls orðalags í matslista á vanda barna Mamiko Ragnarsdóttir skrifar Skoðun Sorrý ég hélt að þetta væri skólablýantur Davíð Már Sigurðsson skrifar Skoðun Hafró setur kíkinn fyrir blinda augað Kjartan Sveinsson skrifar Skoðun Er Borgarlína eina lausn umferðarvanda höfuðborgarsvæðisins? Óskar Halldór Valtýsson skrifar Skoðun Að þora ekki að ræða við nágranna sína Ragnar Sverrisson skrifar Skoðun Umhverfisvænn söngvari óskast Guðmunda G. Guðmundsdóttir skrifar Skoðun Hvenær ber læknir ábyrgð á mistökum annarra? Það þarf að áfrýja héraðsdómi í plastbarkamálinu Gunnar Ármannsson skrifar Skoðun Barn lemur sig í andlitið með hamri – hvað er til ráða? Þórdís Elva Þorvaldsdóttir,Benedikta Sörensen skrifar Skoðun Velsæld og hagsæld - breytum mælikvörðunum Ásgeir Brynjar Torfason,Birna Björnsdóttir,Guðmundur Steingrímsson,Hildur Harðardóttir,Kristín Vala Ragnarsdóttir,Sigríður Kristín Hrafnkelsdóttir,Silja Elvarsdóttir,Svandís Egilsdóttir,Tinna Jóhannsdóttir, Dóra Guðrún Guðmundsdóttir,Brynhildur Davíðsdóttir,Þórhildur Fjóla Kristjánsdóttir skrifar Skoðun Hvenær heyrði hann já? Helga Benediktsdóttir skrifar Skoðun Framúrakstur á ekki að ráðast af þolinmæði og heppni Hólmar Erlu Svansson skrifar Skoðun Skæri fyrir örvhenta Þórgunnur Oddsdóttir skrifar Skoðun Þegar þögn laganna verður að banni Bergur Hauksson skrifar Skoðun Ljósmyndin á öld lögvakans Kristján Logason skrifar Skoðun Af hverju heldur Gigtarfélagið fjölskylduhátíð? Stefán Magnússon skrifar Skoðun Er Ísland orðið of dýrt fyrir venjulegt líf? Valerio Gargiulo skrifar Sjá meira
Árið 2019 var blásið til sóknar í menntamálum með loforðum um aukin fjárframlög á hvern framhaldsskólanema, uppbyggingu iðn- og verknáms og aukna áherslu á íslenskukennslu fyrir nemendur með íslensku sem annað tungumál svo fáein atriði séu talin (Morgunblaðið, 9.9. 2019). Þetta eru kunnugleg kosningaloforð en til þess að greina raunverulegar áherslur stjórnvalda þarf að skoða fjárhagslega mælikvarða og bókhaldsgöng nokkur ár aftur í tímann. Byrjum á að skoða styttingu námstíma til stúdentsprófs. Áhrif styttingarinnar Ætla má að stytting námstíma til stúdentsprófs „spari“ ríkinu 8-9 milljarða árlega. Þessi breyting fór ekki fram hjá neinum og er jafnan talin sú stærsta sem gerð hefur verið á framhaldsskólastiginu í seinni tíð. Árið 2022 var verg landsframleiðsla (VLF) 4 billjónir. Hlutfall fræðsluútgjalda ríkisins til framhaldsskólanna var 0,93% af henni eða um 37,2 milljarðar. Hlutfall fræðsluútgjalda ríkisins til framhaldsskólanna af VLF árið 2012 var 1,15% sem er 24% hærra hlutfall (sjá mynd 1 og 2). Ef sama hlutfall af VLF hefði runnið til framhaldsskólastigsins 2022 og það gerði 2012 værum við að tala um 45,7 milljarða framlag. Hér erum við að ræða um 8,5 milljarða mismun og ýmislegt hægt að gera fyrir þá fjárhæð. Árið 2012 reyndist ekkert sérstakt gullaldarár, síður en svo. Það voru þó hlutfallslega fleiri nemendur sem nutu þeirra menntunarlegu gæða sem skólastigið bauð, við hærra gæðastig og í lengri tíma. Hækkun leigugjalda Næststærsta breyting á framhaldsskólakerfinu átti sér stað árið 2019 og fáir sem þekkja til hennar. Einhver kann að spyrja hvort hér sé átt við áðurnefnda uppbyggingu iðnáms eða hið veglega átak í íslenskukennslu fyrir stóraukinn fjölda nemenda með íslensku sem annað tungumál. Svarið við þessari spurningu er því miður nei. Áherslan á að hækka fjárframlög á hvern nemanda og fela hagræðingaráhrif styttingarinnar og annarra sparnaðaraðgerða í framhaldsskólakerfinu, leiddu forystumenn menntamála í ómótstæðilega freistni. Eftir styttingu námstíma til stúdentsprófs var mest aðkallandi forgangsverkefni stjórnvalda að hækka leigugjöld ríkisreknu skólanna um 126% eða úr 2 milljörðum króna í 4,6. Þetta er hækkun upp á 2,6 milljarða. Þetta þýðir að leigugjöldin eru núna að meðaltali 19% af fjárframlögum ríkisins en voru fyrir 2019 um 9%. Þetta kann að hljóma eins og sakleysisleg ráðstöfun þar sem þetta er jú bara ríkið að færa pening úr einum vasa í annan. Þetta er þó ekki svo einfalt þar sem hér er með einu pennastriki verið að ofmeta menntunarleg útgjöld. Dæmi er um að himinhá leigugjöld hafi verið rukkuð af húsnæði sem er ónothæft. Forsvarsmenn ríkisins lofuðu að rekstrinum yrði tryggður fjármunir þannig að skólarnir stæðu undir leigugjöldum en það hefur ekki reynst vera raunin. Leigan hækkaði t.a.m. hjá ríkisreknu skólunum um 503 milljónir kr. á milli áranna 2023 og 2024 en tap framhaldsskólanna 2024 var nálægt þeirri upphæð eða 511 milljónir. Húsaleiga Menntaskólans í Reykjavík hækkaði um 77 milljónir milli áranna 2022 og 2023 eða um 50% sem skilaði sér í 115 milljón króna neikvæðri afkomu árið 2023 (sjá töflu 1 – 3). Svona mætti lengi halda upptalningunni áfram. Leigugjöldin éta svo upp allar sértekjur framhaldsskólanna sem stjórnendum þeirra er gert að afla. Nú fá skólameistararnir í andlitið á sér eins og blauta tusku að þeir standi sig ekki nógu vel og að stofna þurfi nýtt stjórnsýslustig. Hækkun leigugjaldsins árið 2019 skekkir samanburð á útgjöldum ríkisins til framhaldsskólanna sem nemur 10% ofmati. Útgjöld á hvern nemanda eru ofmetin um sennilega allt að 200.000 krónum. Innbyrðissamanburður á ríkisútgjöldum til framhaldsskólanna skekkist og ekki er hægt að meta t.d. áhrif styttingar námstímans fjárhagslega nema að draga þetta álag frá. Alþjóðlegur samanburður verður svo að taka mið af þessu þar sem íslenska húsaleigan er orðin verulega stór breyta. Hver veit svo hvað Fjársýslan gerði við fjármunina sem skólastjórnendur ríkisreknu framhaldsskólanna afhentu þeim? Iðnaðarmenn sjást dytta að mannvirkjum sem er vissulega eitthvað betur viðhaldið en mér er til efs að fjármunirnir skili sér að öllu leyti til menntunarlegra þarfa. Athuga þarf að með leigugjöldum hefur ekki að fullu verið gert grein fyrir öllum kostnaði við húsnæði starfseminnar svo sem rafmagni, hita, fasteignaumsjón og ræstingu. En hvað er til ráða? Fyrsta tillaga mín væri að lækka hlutfall leigugjalda niður í fyrra horf, þ.e. úr 19% í 9% af fjárframlögum ríkisins en það væri um þriggja milljarðarða innspýting inn í rekstur ríkisreknu framhaldsskólanna. Með því mætti standa við öll loforð og fagurgala stjórnmálamanna og leysa stjórnunarleg vandamál sem kalla nú á nýtt stjórnsýslustig. Við þessar draumaaðstæður væri auðvelt að afskrifa vinnutímaskuldir sem nema árlega 150 milljónum og eru dregnar úr vösum hnýpinnar stéttar framhaldsskólakennara. Önnur tillaga væri að lækka leiguhlutfallið niður í fyrra horf, þ.e. 9% ásamt því að lækka framlög til framhaldsskóla. Með þessu fengist réttari mynd af því sem raunverulega varið af fjármunum til skólastigsins. Þriðja tillagan væri að spyrja hvert hlutverk og markmið forystumanna menntakerfisins sé. Markmið stjórnenda í menntakerfinu og stjórnsýslu menntamála er að tryggja að nægilegu fjármagni sé varið til málaflokksins þannig að skólastigið sinni sínu lögbundna hlutverki. Skólayfirvöldum ber að standa vörð um menntunarlegt inntak og gild. Þetta hafa þau ekki gert enda markmiðið að ná fram sem mestum niðurskurð. Lágmarkskrafa hlýtur þó að vera að birt sé rétt og sönn mynd af stöðu mála. Hér að neðan eru upplýsingar sem unnar eru úr ársreikningum framhaldsskólanna frá árunum 2017-2024 ásamt samanburð á fræðslugjöldum ríkisins til framhaldsskóla. Höfundur er framhaldsskólakennari. Heimildir Morgunblaðið. (2019, 9. september). 36 milljarðar til framhaldsskólastigsins. Mbl.is. https://www.mbl.is/frettir/innlent/2019/09/09/36_milljardar_til_framhaldsskolastigsins/ Unnar Þór Bachmann. (2020, 18. nóvember). Húsaleiga framhaldsskólanna. Kjarninn. Sótt af https://kjarninn.is/skodun/2020-11-18-husaleiga-framhaldsskolanna/ Talaefni sótt af vef Fjársýslunnar og vef Hagstofu Ísland.
Velsæld og hagsæld - breytum mælikvörðunum Ásgeir Brynjar Torfason,Birna Björnsdóttir,Guðmundur Steingrímsson,Hildur Harðardóttir,Kristín Vala Ragnarsdóttir,Sigríður Kristín Hrafnkelsdóttir,Silja Elvarsdóttir,Svandís Egilsdóttir,Tinna Jóhannsdóttir, Dóra Guðrún Guðmundsdóttir,Brynhildur Davíðsdóttir,Þórhildur Fjóla Kristjánsdóttir Skoðun
Skoðun Bandaríkin draga úr hernaðarframlögum til NATO á hættu-og ófriðartímum Arnór Sigurjónsson skrifar
Skoðun Vörðum leiðina afdráttarlaust í mögulegum aðildarviðræðum Heiðrún Lind Marteinsdóttir skrifar
Skoðun Opið bréf til skóla- og velferðarþjónustu Reykjavíkurborgar vegna fordómafulls orðalags í matslista á vanda barna Mamiko Ragnarsdóttir skrifar
Skoðun Er Borgarlína eina lausn umferðarvanda höfuðborgarsvæðisins? Óskar Halldór Valtýsson skrifar
Skoðun Hvenær ber læknir ábyrgð á mistökum annarra? Það þarf að áfrýja héraðsdómi í plastbarkamálinu Gunnar Ármannsson skrifar
Skoðun Barn lemur sig í andlitið með hamri – hvað er til ráða? Þórdís Elva Þorvaldsdóttir,Benedikta Sörensen skrifar
Skoðun Velsæld og hagsæld - breytum mælikvörðunum Ásgeir Brynjar Torfason,Birna Björnsdóttir,Guðmundur Steingrímsson,Hildur Harðardóttir,Kristín Vala Ragnarsdóttir,Sigríður Kristín Hrafnkelsdóttir,Silja Elvarsdóttir,Svandís Egilsdóttir,Tinna Jóhannsdóttir, Dóra Guðrún Guðmundsdóttir,Brynhildur Davíðsdóttir,Þórhildur Fjóla Kristjánsdóttir skrifar
Velsæld og hagsæld - breytum mælikvörðunum Ásgeir Brynjar Torfason,Birna Björnsdóttir,Guðmundur Steingrímsson,Hildur Harðardóttir,Kristín Vala Ragnarsdóttir,Sigríður Kristín Hrafnkelsdóttir,Silja Elvarsdóttir,Svandís Egilsdóttir,Tinna Jóhannsdóttir, Dóra Guðrún Guðmundsdóttir,Brynhildur Davíðsdóttir,Þórhildur Fjóla Kristjánsdóttir Skoðun